The Book Club! Ep.1
Door Ben Holland op Mar 17, 2023 12:19:24 PM

What is The Book Club?
Welcome to The Book Club! The goal of this book club is to provide valuable insights and perspectives on books related to data, visualisation, and other topics within the realm of data. Within each passage, we’ll delve into one book that I have read that I believe can benefit your horizon surrounding the world of data. The summaries will give you a brief overview of the key takeaways and practical applications from each book that can be applied for your business or work. Whether you’re looking to improve your data literacy, or seeking inspiration for your next project, this book club is the perfect opportunity to expand your knowledge and stay ahead of the curve in the world of data.
The Hundred-Page Machine Learning Book – by Andriy Burkov
The first book that is going to be explored is ‘The Hundred-Page Machine Learning Book’ by Andriy Burkov. This book is a really great introduction to the book club. As it explores the multiple aspects of machine learning and its applications. As my background lies with Data Science, I have had to study machine learning thoroughly. Machine learning can be an intimidating topic when you have never been exposed to it before. However, I think that the book gives a precise and comprehensive overview of the world of machine learning. There are multiple formulas and examples of statistics within the book. But, don’t be scared as each technical aspect is accompanied with an in depth explanation.
Overview
Although limited to around one hundred pages, it is a comprehensive guide to the field of machine learning. It offers a concise yet in-depth overview of the key concepts, algorithms, and best practices. The book is designed to be accessible to both technical and non-technical readers. This makes it an ideal resource for different stakeholders involved in data. Whether you are a data engineer, data consultant, business owner, or just data enthusiast looking to learn more. It covers a range of topics, including supervised and unsupervised learning, deep learning, and advanced practice, providing the reader with a solid foundation in the field. By the end of the book, I am sure you will have a deep understanding of the key concepts and will be able to make informed decisions about which machine learning techniques to use in order to solve a particular business problem. The book’s clear explanations, practical examples, and real-world applications make it an indispensable resource for anyone looking to understand the potential of machine learning for their business.
Andriy Burkov starts off the book by addressing the reader. He suggests that machine learning is becoming increasingly important as it is unlike traditional software, within a rapidly growing field. I feel like this is one of the main points Burkov emphasises within the book. He believes that machine learning is the future due to how different it is to ‘traditional software.’ How is it different? Well, the main difference is that machine learning is purely data-driven. Traditional software is coded by a developer that explicitly specifies how the computer should perform a task. Meanwhile, machine learning algorithms analyse the data and look for patterns itself. This allows for model performance to be increased over time with every new piece of data incoming.
My Key Takeaway Points
As I was reading the book throughout the last month, I felt like there were many key takeaways. To give you a better understanding of the book and how useful it can be I would like to delve deeper into a couple of the key takeaways.
Regressions
The first area I found most beneficial in the book was at chapter 3, called ‘Fundamental Algorithms.’ This chapter really is what it is titled. Looking at, linear regressions, logistic regressions, decision trees, support vector machines, and k-nearest neighbours. The algorithms are split into bit size sections explaining the mathematical formulas and displaying graphs to give a visual aid. There is a problem statement and solution for each, which really makes you think and problem solve whilst reading. This aspect really benefitted me as learning from mistakes and figuring out as you read is a great way to retain information. Common data issues were addressed here too, so you could identify if your data was biassed. The example shown below relates to linear regressions.
Best Practices
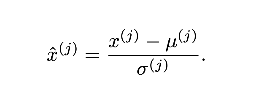
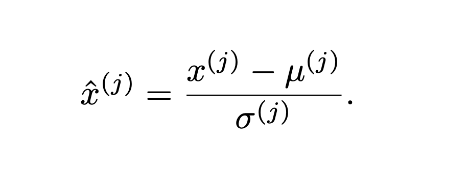
Another extremely valuable section was within chapter 5, ‘Basic Practice.’ Here, the best practices for machine learning tasks such as data preparation, feature selection, hyperparameter tuning, and model evaluation were explained. The chapter explains the importance of preprocessing data before feeding it into a model. Including techniques such as feature scaling and one-hot encoding. Standardisation is a key point here. There are explanations of the maths behind standardisation, with the formula presented and broken down so it is easy to understand for all levels of data enthusiasts. Andriy Burkov also discusses hyperparameter tuning, which involves adjusting the parameters of the machine learning model to achieve optimal performance. Another helpful part within the chapter emphasises the importance of evaluating the performance of the model using metrics such as accuracy, precision, recall, and F1-score. I also found that the underfitting and overfitting part of this chapter again provided thorough clarification of bias which is heavily referenced before this stage. Throughout this chapter there were plenty of practical examples to illustrate the key takeaways and help readers apply the concepts to their own projects.
Closing Remarks
Having read the book, I could have picked most chapters and most sections as highlights and key takeaways from this book. The book is very concise and I feel every part of this book heightens your understanding of machine learning. If you have little mathematics and formula experience, at first glance you may be put off. However, I would recommend keeping an open mind and really committing to reading as the clarification of these concepts are very clear.
I hope you benefited from the review of ‘The One Hundred Page Machine Learning Book’ by Andriy Burkov. If you are looking to read it, there are many copies online for sale! However, Burkov also offers a ‘read first, pay later’ principle so you can easily access it online!
Mogelijk ook interessant
Gerelateerde blogs

